大型工业CAE软件相当于一个设计思想的加工“机床”,结构庞大而复杂,通常需要几天的学习时间,精通更需要很多深入的知识,对初学者有一定难度。东峻公司针对这种初学者的困难,开发了快速生成工业App功能,一个熟悉软件的工程师完成任意一个工程项目后,生成App,其团队几乎不用花费其它学习成本,即可用该App进行研究。该功能具有以下巨大优势:
明确的“自定义变量空间”(例如:天线阵的结构参数或材料参数)、“工程场景”(例如:无人机平台)、“计算目的”(例如:辐射或散射性能)。
第一次接触App的研究人员、学生几乎不用学习,就可直接修改变量值进行设计研究,达到“一人建工程,团队能研究”的效果。
在“自己设定的参数情况下”,可以得到所有想获得的信息(场分布、频谱信息等等)。
这些App像“时空显微镜”一样,能够直接观察电磁/光学中的电磁场的动态演化过程,并且能够记录波传播过程中关键的位置和场值信息及其它关键参数,读取这些信息进行处理并跟理论值相对比,进而让研究人员/学生快速直观地发现与理解相应的物理原理和图像,如:波在传播过程中出现的干涉、衍射、折射、反射、散射等现象。
仿真目的
(1) 观察光在界面的反射、折射与全反射现象
(2) 验证反射定律与折射定律
(3) 计算全反射时的临界入射角并仿真验证
基本原理
(1)折射与反射
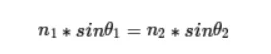
光线穿过不同介质的交界面会发生反射及折射现象,入射、反射及折射光线在同一平面上,此面包含入射光线以及界面的法线。反射定律为

折射定律为
即Snell定律,其中n1,n2分别是入射介质1和出射介质2的折射率,θ1为入射角,θ2为折射角,θ3为反射角。

(2)全反射
当光从光密介质射向光疏介质时(n1>n2),可能出现折射角增至90度时,折射光线沿界面方向传播,再稍微增大入射角,入射光线将全部按照反射定律反射会光密介质。这种现象即为全反射,此时入射角θ1需要满足条件

此时θ1称为临界角。
此时几乎所有能量被界面反射,折射波为衰逝波。折射波的衰减特征为

启动软件,打开文件 ,选择 新建工程向导 进入 计算模式 选择,选择 自定义计算模式 。


设置单位
如果需要修改单位,可在菜单栏选择仿真˃文档参数>设置单位进行设置;

定义常用变量

设置材料
界面两侧材料不同,此案例中需设置两种材料,且介电常数/折射率应设置为变量,方便后续可调。


新建模型
通过 模型编辑器 > 设计 ,鼠标右键> 新建几何结构体 的方式来新建模型。利用长方体新建界面左侧模型,新建完成后,鼠标右键cube,选择设置材料,材料设置为mat_1。

选中左侧模型,鼠标右键,点击“复制”,将出现新的长方体模型,双击,在弹出窗口的设置页面修改材料为mat_2,在坐标变换页面设置“缩放”,x、y、z分别设置为1、1、-1,表示模型大小不变,绕Z轴翻转,与原模型沿Z轴对称。



激励源类型选择线源,设置信号为余弦信号,路径设置为线段,相关参数如下。

将线源扩展为阵列。鼠标右键“设计”,选择新建阵列,在弹出窗口,阵列类型选择正交阵列,相关参数设置如下。

线源阵列新建完成后,删除最先新建的线源。将线源阵列移动并旋转,将其置于中心界面左侧的左下方。相关参数设置如下

在线源后方放置一块金属板,对向后方发射的电磁波进行阻断(反射)。利用长方体新建金属挡板,材料设置为pec,将长方体平移并旋转至线源后方。


将先前新建的模型和激励源全部选中,鼠标右键,点击“组合”,对该组合进行旋转操作,将其沿z轴旋转-90°。

模型编辑器树下设计 ,鼠标右键 > 新建监视器 > 选择类型 区域场监视器(频域)
打开区域场监视器(频域) 窗口,设置频率、场量、记录面及其位置,并命名,点击 确定 。参数设置如下。

为了保证界面的观感或专业性,可以设置坐标显示器以及相关的指示显示。本案例中,通过模型编辑器> 设计 ,鼠标右键> 新建几何结构体,设置了坐标显示器,显示XZ轴方向上的标尺以及XOZ平面的网格。

通过模型编辑器> 设计 ,鼠标右键> 新建几何结构体,设置与理论相关的箭头方向显示,分别是入射方向、理论反射方向、理论折射方向、截面法向,方便其它用户理解。


双击工程管理窗口中配置下方的选项,设置频率、计算区域、边界等参数。



3d模型窗口最终模型如下图:

工程管理器窗口> 配置 ,双击 网格 ;网格参数设置如下

点击菜单栏仿真 >> 生成APP 。
在新弹出窗口,描述App相关的原理与仿真案例/场景,方便其他使用者阅读该模块时,能快速了解该App的具体功能和操作。描述完成后,可点击右侧的导出,将描述内容导出成txt文件进行备份。

点击“下一步”,会显示ewp2工程文件中设置的所有变量。给变量添加相应的单位、标签等描述。状态为空,表示该变量在App中可自定义修改,状态设置为2,表示该变量在App中不显示。建议将参数表导出成json文件进行备份。

点击“下一步”,勾选“启用实时场观察期页面”,便可在App中观察实时场图。注意:失效日期不要启用,否则过期后,该App将作废。

点击“完成”,设置文件名,保存,完成.app.epk文件的生成。
打开EastWave软件,点击菜单栏文件 >> 打开 ,打开App工程文件,弹出App界面。
介绍模块对应于生成App时的描述内容,介绍了该App相关的原理与仿真案例/场景,阅读该模块,了解该App的具体功能和操作。

点击模型,在该界面可对参数进行设置,参数确定后,点击更新,如无报错,点击运行,启动仿真计算。

点击 实时场查看器 => 连接 ,可查看模型实时场。本app实时场查看选择场量Ey,以及平面XOZ。更新后点击zox坐标查看实时场。

计算结束后,点击结果,切换到结果界面查看计算结果。在 数据结果=>近场监视器=>near_YOZ 下,可以查看近场的截面场分布。下图是入射角为30度的截面场截图。

在数据结果=>所有结果=>后处理中,可以查看远场折射分布,根据远场强度峰的位置可以得出折射角。

在 数据结果=>所有结果=>后处理=>result_far_refletion下,可以查看远场反射分布,根据远场强度峰的位置可以得出反射角。

从远场图可以观察到电场强度折射分布图中波峰位置在20.1°,这个角度对应折射角,远场强度反射分布对应波峰位置为30°。与理论折射角、反射角一致。
当光从光密射向光疏时,折射角增至90度时,折射光线沿界面方向传播,再稍微增大入射角,入射光线将全部按照反射定律反射会光密介质。发生全反射,仿真此时的临界入射角。
修改模型参数
点击模型,在该界面可对参数进行设置,参数确定后,点击更新,如无报错,点击运行,启动仿真计算。

查看实时场
点击 实时场查看器 => 连接 ,可查看模型实时场。本app实时场查看选择场量Ey,以及平面XOZ。更新后点击zox坐标查看实时场。

查看结果
计算结束后,点击结果,切换到结果界面查看计算结果。
在 数据结果=>近场监视器=>near_YOZ 下,可以查看近场的截面场分布。

